室内热环境舒适性评价用暖体假人系统及其评价方法
发布时间:2018-12-03 16:32
本发明涉及一种室内热环境评价系统,具体涉及一种室内热环境舒适性评价用暖 体假人系统及其评价方法。
背景技术
随着经济、技术的发展和生活水平的不断提高,人们对室内环境热舒适的要求越 来越高,各种环境控制系统因此得到了发展应用,热环境舒适性评价手段和技术能力也越 来越受到重视。
热舒适是指人对于热湿环境的主观满意程度。通常用预计平均热感觉指数 (Predicted Mean Vote PMV)和预计不满意者百分数(Predicted Percentage of Dissatisfied PPD)来评价。影响热舒适性的主要因素有空气温度、空气相对湿度、平均辐 射温度、相对空气流速、人体活动的代谢率与服装基础热阻。同时国家高度重视居民的居住 生活水平,提出要努力创建更舒适的居住条件、更优美的环境。因此营造一种健康、舒适、环 保、节能的室内环境显得尤为重要。但是,现有热舒适性的检测评价技术存在着可移动性不 强、传感器精确度不高、环境参数考虑不周等问题;特别是现有热舒适性评价中所采用的 PMV评价指标是以某一点温度或者几个点的平均温度来计算的,并不能真实反映人体周围 环境的情况,得出的评价结果与人体实际所处的真实环境的实际感受还存在较大误差,从 而使评价结果精度不高;同时采用PMV评价时需要测试多个参数,例如需要测试外部做功消 耗的热量、平均辐射温度、室内空气流速和水蒸气分压等参数,工作量较大,成本较高。
自20世纪40年代以来,暖体假人(Thermal Manikin)作为一种可以模拟人体与环 境之间热湿交换的生物物理试验设备得到了长足的发展。其身材、物理参数与普通成年人 相近,本体一般由金属材料或金属复合材料制作而成,采内部加热、内表面加热和外表面加 热的方式模拟人体的体温或模拟人体代谢发热,的假人设备还具备发汗、呼吸等附加 功能,不断应用于服装、环境等领域当中与人体舒适性相关的研究当中。
因此,建立一套在模拟高温环境中对暖体假人开展性能化测试的试验评价系统有 着重要意义。
发明内容
本发明根据人在生活及工作中接触到的热环境往往是非均匀环境,存在气温分布 不均匀、非对称辐射、局部气流、局部冷却等影响因素,提出了一种室内热环境舒适性评价 用暖体假人系统及其评价方法;本系统可应用于诸如汽车环境、火车及船类箱室空间、航空 航天舱室、建筑物室内环境等热环境的舒适性评价。
为了实现上述目的,本发明提供如下技术方案:
—种室内热环境舒适性评价用暖体假人系统,包括暖体假人、测控系统和评价系 统,所述暖体假人包括暖体假人本体,将所述暖体假人本体按照实际人体的传热特性,划分 为多段分区本体,在每段所述分区本体的内侧依次设置加热层、均温层和保温层;所述测控 系统与每段所述分区本体的加热层连接,用于测量所述分区本体的表面温度值和表面热流 值,并独立控制每段所述分区本体的表面热流值以使每段所述分区本体处于人体舒适状 态;所述评价系统与所述测控系统连接,用于根据所述分区本体的表面温度值与表面热流 值、以及输入服装热阻得到所述暖体假人的等效空间温度,并根据所述暖体假人的等效空 间温度阻来对室内热环境舒适性进行评价。
在如上所述的暖体假人系统,优选,所述暖体假人本体分为16段分区本体,依次为 头部分区本体、胸部分区本体、背部分区本体、腰臀部分区本体、左上臂分区本体、右上臂分 区本体、左前臂分区本体、右前臂分区本体、左大腿分区本体、右大腿分区本体、左小腿分区 本体、右小腿分区本体、左手分区本体、右手分区本体、左足分区本体和右足分区本体。
在如上所述的暖体假人系统,优选,所述测控系统包括:表面温度测量装置,设置 于所述暖体假人本体和所述加热层之间,用于测量各段分区本体的表面温度值;表面热流 测量装置,用于测量各段分区本体的表面热流值;表面热流值通过测量加热量得到,所述加 热量为采用功率计测量加热层的电功率得到的加热功率;暖体假人热状态控制装置,与所 述表面温度测量装置和所述表面热流测量装置连接,用于通过所述暖体假人热状态控制装 置的PID调节器对各段分区本体的加热层进行独立控制以使每段分区本体处于人体舒适状 ??τ
在如上所述的暖体假人系统,优选,所述暖体假人热状态控制装置根据公式tsk= 36.4-0.054Q对所述PID调节器进行控制;在不考虑暖体假人对外做功情况下,所述公式由 解算人体舒适状态热平衡方程得到,所述人体舒适状态热平衡方程如下:
l)M=Qt = Qres+Es+Q;
2) Qres = 1.7 X IO-5M (5867-Pa) +0.0014M (34-ta);
3)ES = 3.05X 10—3 (5733 —6.99M—Pa)+0.42(M—58.15);
由以上I)、2)和3)式得出Qt与Q间的关系如下:
4)Qt=1.96Q-21.56;
tsk与Qt间有如下关系:
5) tsk = 35.77-0.028Qt;
由4)和5)两式得出暖体假人热状态的加热控制方程:tsk = 36.4-0.054Q;其中,M为 人体代谢率,单位为W/m2; Qt为人体与环境间的总换热,单位为W/m2; Qres为人体呼吸换热,单 位为W/m2;Es为人体皮肤蒸发换热,单位为W/m2; Q为人体与环境间的对流辐射干换热,即表 面热流值,W/m2;Pa为环境水蒸汽分压,取1500Pa; ta为环境气温,取20°C,tsk为舒适状态下分 区本体的表面温度,单位为tC。

i--暖体假人分段号,n = 16;
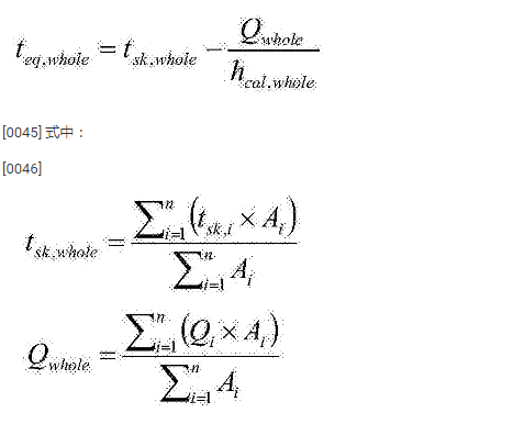
teq, whole--暖体假人的等效空间温度,单位为°C ;
Qwhoie--暖体假人的面积加权加热热流率,单位为W/m2;
tsk;1一一暖体假人分段i的表面温度,单位为°(:;
Qi——暖体假人分段i的加热热流,单位为W/m2;
A1一一暖体假人分段i的表面积,单位为m2;
heal ,whole一一暖体假人表面与环境间的换热系数,在标准均匀热环境中测定,单位 为W/m2 ·。。。
在如上所述的暖体假人系统,优选,当服装基础热阻取0.50clo时,暖体假人的等 效空间温度teq,whole应在23.3°C?28.5°C,依据如下公式进行评分:
Rteq, summer 5_1 · 905 X I teq,whole_25 · 9 I
式中,Rteq,summer——服装基础热阻取0.50clo时,室内环境暖体假人评价得分;若 Rteq,summer >5,则取Rteq ,summer 5 ;若Rteq ,summer 〈1,则取Rteq ,summer — 1 〇 所述Rteq ,summer 的数值为1? 5,该评价得分数值的大小是用来区分热舒适等级的高低,数值越高代表热舒适性越好,5代 表好,1代表差。
在如上所述的暖体假人系统,优选,当服装基础热阻取I.OOclo时,暖体假人的等 效空间温度teq,whole应在19.5°C?26.7°C,依据如下公式进行评分:
RteqjWinter = 5-1.429 X | teq,whole-23 . I
式中,Rte3qiwinte3r——服装基础热阻取I. OOclo时,室内环境暖体假人评价得分;若 Rteq,winter 〉5,贝丨J耳S^Rteq,winter — 5 ;右"Rteq,winter〈l,贝丨J耳XRteq,winter — Io
所述Rteq,、_^的数值为1?5,该评价得分数值的大小是用来区分热舒适等级的高 低,数值越尚代表热舒适性越好,5代表好,1代表差。
—种室内热环境舒适性评价方法,由所述的室内热环境舒适性评价系统运行,包 括以下步骤:
1)将暖体假人置于室内的检测位置,分别测试暖体假人每段独立分区的温度及加 热热流;
2)待室内环境达到热稳定状态,暖体假人满足控制要求后,记录从暖体假人所采 集到的测试数据;
3)室内活动时,服装基础热阻取0.50clo或I. OOclo两种状态;再结合步骤2)中测 试数据来计算暖体假人的等效空间温度teq,Whcile;并根据等效空间温度值来对室内热环境舒 适性进行评价得分。
在如上所述的室内热环境舒适性评价方法,优选,所述步骤3)中,所述暖体假人的 等效空间温度teq,whole的计算公式为:

i--暖体假人分段号,n = 16;
teq, whole--暖体假人的等效空间温度,单位为°C ;
Qwhoie--暖体假人的面积加权加热热流率,单位为W/m2;
tsk;1一一暖体假人分段i的表面温度,单位为°C ;
Qi——暖体假人分段i的加热热流,单位为W/m2;
Ai--暖体假人分段i的表面积,单位为m2;
hcal.whole 一一暖体假人表面与环境间的换热系数,在标准均匀热环境中测定,W/ m2 ·。。。
在如上所述的室内热环境舒适性评价方法,优选,当服装基础热阻取0.50clo时, 暖体假人的等效空间温度teq,whole应在23.3°C?28.5°C,依据如下公式进行评分:
Rteq.sunmier = 5-1.905 X | teq,whole-25.9
式中,Rteq,summer——服装基础热阻取0.50cIo时,室内环境暖体假人评价得分;若 Rteq,simmier〉5,贝丨J耳S^Rteq,summer — 5 ;右"Rteq,simmer〈 1,贝丨J耳XRteq,summer — 1。所^J^Rteq,summer 的数值为1? 5,该评价得分数值的大小是用来区分热舒适等级的高低,数值越高代表热舒适性越好,5代 表好,1代表差;
当服装基础热阻取I. OOclo时,暖体假人的等效空间温度teq,whole应在19.5°C? 26.7°C,依据如下公式进行评分:
RteqjWinter = 5-1.429 X | teq,whole-23 . I
式中,Rte3q1w1nte3r——服装基础热阻取I. OOclo时,室内环境暖体假人评价得分;若 Rteq,winter 〉5,贝丨J耳S^Rteq,winter — 5 ;右"Rteq,winter〈l,贝丨J耳XRteq,winter — Io
所述Rteq,、_^的数值为1?5,该评价得分数值的大小是用来区分热舒适等级的高 低,数值越尚代表热舒适性越好,5代表好,1代表差。
在上述的室内热环境舒适性评价用暖体假人系统中,中国成年男性暖体假人平衡 状态下控制过程非常稳定,对服装基础热阻及热环境参数的测试误差很小,控制方法准确, 重复性好。这项工作要求摸索佳的控制策略,提高控制稳定性、精度,加快稳定速度,达到 该要求是暖体假人用于热环境舒适性评价的基础。
与接近的现有技术相比,本发明提供的技术方案具有如下优异效果:
(1)本发明的暖体假人结构设计合理,暖体假人按照中国成年男性三维尺寸数据 研制,其表面形状与中国成年男性外表形状一致。暖体假人具有人体活动的主要关节,可以 完全模拟真实人体在生活、工作热环境中的各种姿态,因而暖体假人与环境间的换热状态 与实际人体的状态极其一致,这种结构设计方式是保证暖体假人准确合理测试热环境的基 础。
(2)本发明的暖体假人分区科学合理,暖体假人分16个独立测量、加热控制的区 域;同时该分区既考虑了人体表面积大的特点,又考虑了服装穿着情况,也考虑了不同姿势 下该部位与环境间的不同换热条件。
本发明制备暖体假人的材料导热性非常好,还布置了均温层与隔热材料,这样可 以确保同一分区表面温差非常小,提高温度测量合理性,同时保证加热热流与暖体假人表 面散热热流完全相同,满足表面热流测试要求。
(3)本发明的控制系统合理可靠,暖体假人采用人体舒适状态热平衡方程控制假 人表面温度及表面热流。平衡状态下控制过程非常稳定,对服装基础热阻及热环境参数的 测试误差很小,控制方法准确,重复性好。同时平衡状态下假人表面温度与实际着装人体在 同样环境条件下的体表温度非常接近,温度分布规律一致。
(4)本发明的评价方法科学合理,采用中国成年男性暖体假人不仅可以测试实际 人体所处热环境对应的全身等效空间温度,还可以测试人体不同分区周围环境的等效空间 温度,真实反映实际人体周围热环境参数。等效空间温度能通过人体与环境间的实际对流 辐射换热综合反映气温、辐射温度(壁温、地板温度、其它辐射源)、人体不同肢体间相对位 置、人体在热环境中的位置、风速等因素在热环境中的影响。
(5)本发明根据暖体假人测试的等效空间温度并结合服装基础热阻和人体代谢 率,确定人体全身冷热感觉、人体不同部位冷热感觉来作为评价结果。该评价结果不仅用于 环境控制系统的评价,还可以为环境控制系统的设计提供指导,保证人体在热环境中全身 及局部区域的舒适性。
(6)本发明的评价系统应用范围广泛,在民用、军事、航空航天、航海等各种领域热 环境中,都存在复杂的非均匀热环境,中国成年男性暖体假人热环境舒适性评价系统不仅 可以直接准确综合测试热环境参数,还可以对这些热环境舒适性进行客观评价,测试及评 价结果稳定、准确、重复性高、符合真实人体热状态,合理可靠。
(7)本发明提供的评价系统为我国室内热环境舒适性营造产品的研发、设计和评 价工作提供参考和依据,有效提升我国室内热环境舒适性营造产品的宜人性水平,同时也 为我国从事热环境舒适性研究、生产和监管的科研院所、企业和监管部门提供技术支持和 评价依据。
⑶本发明提供的评价系统直接采用空间等效温度来得到室内热环境舒适性评价 结果,评价方法简单,评价结果精度较高;比现有技术中采用PMV评价指标得到的评价结果 精度高,且测定的技术参数较少(采用PMV评价时需要测定多个参数,如需要测试外部做功 消耗的热量、平均辐射温度、室内空气流速和水蒸气分压等参数),工作量少,成本低。
具体实施方式:
下面将对本发明实施例中的技术方案进行清楚、完整地描述,显然,所描述的实施 例仅仅是本发明的一部分实施例,而不是全部的实施例。基于本发明中的实施例,本领域普 通技术人员所获得的所有其他实施例,都属于本发明保护的范围。
如图1所示,本发明提供了一种室内热环境舒适性评价用暖体假人系统,包括暖体 假人、测控系统和评价系统,暖体假人包括暖体假人本体,将暖体假人本体按照实际人体的 传热特性,划分为多段分区本体,在每段分区本体的内侧依次设置加热层、均温层和保温 层;测控系统与每段分区本体连接,用于测量分区本体的表面温度值和表面热流值,并独立 控制每段分区本体的表面热流值以使每段分区本体处于人体舒适状态;评价系统与测控系 统连接,用于根据分区本体的表面温度值与表面热流值、以及输入服装热阻得到暖体假人 的等效空间温度,并根据暖体假人的等效空间温度来对室内热环境舒适性进行评价。
如图2至图5所示,为暖体假人的站姿、坐姿的结构图,本发明提供的暖体假人,并 具有很好的关节活动能力。本发明提供的暖体假人,包括暖体假人本体,用于形成整个暖体 假人的骨架及提供支撑作用;暖体假人本体呈中空壳状且具有多段分区本体,相邻两段分 区本体之间通过关节连接,即暖体假人具有人体活动的主要关节,如图7所示,每段分区本 体的内表面上铺设有加热层19、均温层20和保温层21,其中:加热层19贴于暖体假人本体分 区的内侧,用于对暖体假人进行加热;均温层20覆盖在加热层19的内侧,用于均匀受热;保 温层21设置在均温层20的内侧,用于保温。每个分区本体即为暖体假人的皮肤层17。
在本发明的实施例中,保温层21为保温棉;均温层20为铝膜;加热层19为电加热 膜,暖体假人本体的材质为紫铜。
在本发明的实施例中,暖体假人本体具有头部1 (或称头部分区本体)、躯干分区本 体、手臂分区本体、手部分区本体、腿部分区本体和脚部分区本体;躯干分区本体分别与头 部1、手臂分区本体和腿部分区本体连接,手臂分区本体和手部分区本体连接,腿部分区本 体与脚部分区本体连接。
又如图2至图5所示,暖体假人本体分区科学合理,暖体假人分16个独立的分区本 体。这些分区充分考虑了人体生理结构特点、人体在热环境中与环境的换热特点。例如,对 于躯干这种面积大的部位,暖体假人被详细分成了胸部2、背部3、腰臀部10等区域,分区既 考虑了人体表面积大的特点,又考虑了服装穿着情况,同时也考虑了不同姿势下该部位与 环境间的不同换热条件。根据实际人体的传热特性,将暖体假人分区成具有多个独立测量 和加热控制区域(合理布置均温及保温措施,该分区结构合理)。在本发明的实施例中,躯干 分区本体包括:胸部2 (或称胸部分区本体)、腰臀部10 (或称腰臀部分区本体)和背部3 (或称 背部分区本体);胸部2分区本体和背部3连接,且连接于腰臀部10上,前述三者之间的连接 方式可以是粘接,还可以是卡接。
在本发明的实施例中,手臂分区本体分为:左手臂分区本体和右手臂分区本体,左 手臂分区本体包括:左上臂5 (或称左上臂分区本体)和左前臂7 (或称左前臂分区本体),右 手臂分区本体包括:右上臂4 (或称右上臂分区本体)和右前臂6 (或称右前臂分区本体);手 部分区本体包括:左手9 (或称左手分区本体)和右手8 (或称右手分区本体);腿部分区本体 分为左腿分区本体和右腿分区本体,左腿分区本体包括:左大腿12 (或称左大腿分区本体) 和左小腿14 (或称左小腿分区本体),右腿分区本体包括:右大腿11 (或称右大腿分区本体) 和右小腿13 (或称右小腿分区本体);脚部分区本体包括左足16 (或称左足分区本体)和右足 15 (或称右足分区本体)。
将各个独立分区的暖体假人模型进行总体装配,并设置脖颈、髋、膝、肘、肩等等多 个活动关节来完成组装暖体假人。本发明实施例中的活动关节根据实际人员的关节进行模 拟设置,具有与实际人体一样的关节活动能力。优选地,又如图9所示,头部1、胸部2、腰臀部 10和背部3上的保温层21均没有对应地充满头部1分区本体、胸部2、腰臀部10和背部3的中 空部分,即组装后的暖体假人的头部1、胸部2、腰臀部10、背部3的分区结构部位处为中空结 构。又如图8所示,手臂分区本体、手部分区本体、脚部分区本体和腿部分区本体上的保温层 21均对应地充满手臂分区本体、手部分区本体、脚部分区本体和腿部分区本体的中空部分, 即暖体假人的手臂、手部、腿部和脚部的分区结构部位处为实体结构。
本发明的暖体假人结构设计合理,暖体假人按照中国成年男性三维尺寸数据研 制,其表面形状与中国成年男性外表形状一致。暖体假人具有人体活动的主要关节,可以完 全模拟真实人体在生活、工作热环境中的各种姿态,因而暖体假人与环境间的换热状态与 实际人体的状态极其一致,这种结构设计方式是保证暖体假人准确合理测试热环境的基 础。
在本发明的实施例中,暖体假人本体按照中国成年男性3D数据制作。暖体假人本 体的尺寸为50百分位成年男性尺寸,分为多段分区本体且具有多个独立的温度加热控制区 域,暖体假人本体具有髋、膝、肘活动关节,并可具有站姿或坐姿。
此外,本发明提供一种暖体假人的制备方法,包括以下步骤:
1)(为使测量评价结果更准确)先采用中国成年人50百分位男性人体3D扫描云图 数据;
2)根据步骤1)中的云图数据构造数字人体3D实体模型,再切分人体3D实体模型为 16个独立分区,并设计分区间的连接结构;
3)逐一打印出步骤2)中各个独立分区的实体模型;
4)并根据步骤3)中打印出的每个独立分区的实体模型,采用紫铜材料铸造模具, 并将铸造出的模具进行精加工与表面处理,使所述模具的表面辐射特性与实际人体一致 后,得暖体假人本体,即暖体假人的皮肤层17。
5)在步骤4)中各个独立分区本体的所述暖体假人的皮肤层17内侧依次设置下述 的测温层18、加热层19、均温层20和保温层21,得独立分区本体的暖体假人模型;
6)将步骤5)中各个独立分区的暖体假人模型进行总体装配,并设置髋、膝、肘等多 个活动关节,完成组装后得暖体假人。
在步骤5)中,测温层18为多个点状的测温传感器;加热层19为一层电加热膜;均温 层20为铝膜;保温层21为保温棉。
在本发明的实施例中,测控系统包括:表面温度测量装置(即测温层18),设置于暖 体假人本体和加热层之间,用于测量各段分区本体的表面温度值,优选地,表面温度测温装 置为多个点状的测温传感器;表面热流测量装置,用于测量各段分区本体的表面热流值;表 面热流值通过测量加热量得到,加热量为采用功率计测量加热层的电功率得到的加热功 率。暖体假人热状态控制装置,与表面温度测量装置、表面热流测量装置和加热层19连接, 用于通过暖体假人热状态控制装置的PID调节器对各段分区本体的加热层进行独立控制以 使每段分区本体处于人体舒适状态。每个独立温度控制的分区本体对应的加热层均采用低 压电源进行单独加热控制,并设置测温传感器测量暖体假人本体的表面温度。在腿部、胸部 2、背部3和腰臀部10 (对于换热条件差别较大)的分区本体上设置多个传感器测量表面温 度。
如图6所示,暖体假人热状态控制装置中是采用人体舒适状态热平衡方程来控制 暖体假人的各个独立分区本体的表面温度值和表面热流值;暖体假人的每个独立分区的加 热热流与表面温度由计算机测量控制,控制模式符合人体舒适状态平衡方程。由于辐射换 热与测量表面的吸收率与发射率有关,因此暖体假人表面应与实际人体表面的辐射特性近 似;暖体假人着装或裸露表面应按实际人体模拟。代谢率是指人体的生热率,人体热量都通 过皮肤表面的显热交换散发到环境中了,出汗和呼吸换热都通过建立湿换热与干换热之间 的关系,使暖体假人只通过对流辐射换热形式就可以模拟实际人体与环境间的总换热,此 为该暖体假人测试过程中的基本控制思路。此外,气温、辐射温度、人体各肢体间相对位置、 风速等影响因素对暖体假人的影响全部通过暖体假人不同位置的发热率和皮肤表面温度 综合反映出来。
在本发明的实施例中,暖体假人热状态控制装置根据公式tsk = 36.4-0.054Q对PID 调节器进行控制;在不考虑暖体假人对外做功情况下,公式由解算人体舒适状态热平衡方 程得到,人体舒适状态热平衡方程如下:
l)M=Qt = Qres+Es+Q;
2) Qres = 1.7 X IO-5M (5867-Pa) +0.0014M (34-ta);
3)ES = 3.05X 10—3 (5733 —6 ·99Μ—Pa)+0.42 (Μ—58.15);
由以上1)、2)和3)式得出Qt与Q间的关系如下:
4)Qt=1.96Q-21.56;
tsk与Qt间有如下关系:
5) tsk = 35.77-0.028Qt;
由4)和5)两式得出暖体假人热状态的加热控制方程:tsk = 36.4-0.054Q;
其中,M为人体代谢率,单位为W/m2; Qt为人体与环境间的总换热,单位为W/m2; Qres 为人体呼吸换热,单位为W/m2; Es为人体皮肤蒸发换热,单位为W/m2; Q为人体与环境间的对 流辐射干换热,即表面热流值,W/m2; Pa为环境水蒸汽分压,取1500Pa; ta为环境气温,取20 °C,tsk为舒适状态下分区本体的表面温度,单位为°C。
暖体假人热状态的加热控制方程中表明,暖体假人表面温度高低取决于假人与环 境间的散热量或者是假人的加热功率。将通过暖体假人测试分析该方法控制的稳定性、准 确性、可靠性,从而将该控制模式用于暖体假人以评价热环境舒适性。
评价系统与测控系统连接,用于根据分区本体的表面温度值、表面热流值以及输 入服装热阻得到暖体假人的等效空间温度,并根据暖体假人的等效空间温度来对室内热环 境舒适性进行评价。
具体地,室内活动时,服装基础热阻取0.50clo或I. OOclo两种状态;评价系统接收 输入的服装基础热阻并计算暖体假人的等效空间温度teq,Whclle,根据等效空间温度值来对室 内热环境舒适性进行评价得分。
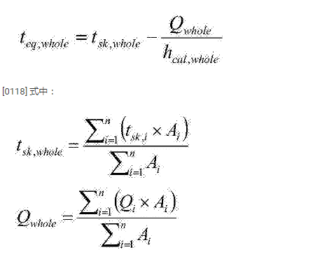
暖体假人的等效空间温度t^whoie的计算公式为:

i 一一暖体假人分段号,η = 16;
teq, whole--暖体假人的等效空间温度,单位为°C ;
Qwhoie--暖体假人的面积加权加热热流率,单位为W/m2;
tsk;1一一暖体假人分段i的表面温度,单位为°C ;
Qi——暖体假人分段i的加热热流,单位为W/m2;
A1一一暖体假人分段i的表面积,单位为m2;
hcal.whole一一暖体假人表面与环境间的换热系数,在标准均匀热环境中测定,W/ Hl2 · °C,该换热系数的大小与服装基础热阻的大小有关,即当服装基础热阻的大小改变后, 该换热系数的大小随之也会发生改变。
由于该式中等效空间温度teq,Whcile涉及16段分区本体,所以teq,Whcile可以称为全身 等效空间温度。对应地,可以得出不同分区本体的等效空间温度(或称局部等效空间温度), 具体公式如下:


式中:
i一一暖体假人分区本体的段号,i为大于等于1且小于等于16的正整数;
teq;1一一暖体假人的局部等效空间温度,单位为°(:;
Qi--暖体假人的第i段分区本体的加热热流率,单位为W/m2;
tsM暖体假人的第i段分区本体的表面温度,单位为°C;
hcal.whole 一一暖体假人表面与环境间的换热系数,在标准均匀热环境中测定,W/ m2 ·。。。
下面对根据暖体假人的等效空间温度来对室内热环境舒适性进行评价的过程详 细说明:
当服装基础热阻取0.50clo时,暖体假人的等效空间温度teq.whole应在23.3°C? 28.5°C,依据如下公式进行评分:
Rteq,summer = 5-1.905 X | teq,whole-25.9
式中,Rte3qisumme3r——服装基础热阻取0.50cIo时,室内环境暖体假人评价得分;若 Rteq,sunmier^5 j j)i!ji|XRteq, summer _ 5 ;石.Rteq, simmer〈 I j ]3!ji|XRteq, summer _ I 〇 Rteq, summer 的数值为I?5,该 评价得分数值的大小是用来区分热舒适等级的高低,数值越高代表热舒适性越好,5代表 好,1代表差;
当服装基础热阻取I. OOclo时,暖体假人的等效空间温度teq,Whc^应在19.5°C? 26.7°C,依据如下公式进行评分:
Rteq,winter = 5~1.429 X | teq,whole_23 . I
式中,Rte3qiwinte3r—一服装基础热阻取I. OOclo时,室内环境暖体假人评价得分;若 Rteq,winter 〉5,贝丨J耳S^Rteq,winter — 5 ;右"Rteq,winter〈l,贝丨J耳XRteq,winter — Io
Rteq,数值为1?5,该评价得分数值的大小是用来区分热舒适等级的高低, 数值越高代表热舒适性越好,5代表好,1代表差。
评价系统包括等效空间温度获取单元和评价单元,等效空间温度获取单元用于获 取全身等效空间温度和局部等效空间温度。评价单元包括数据输入单元、评价方法和评价 结果。数据输入单元用于接收服装基础热阻、全身等效空间温度和局部等效空间温度。评价 方法用于根据输入单元输入的数据对室内热环境舒适性进行评价。评价结果用于根据热舒 适等级评价表对评价方法的结果进行比对,得到结果。
为了便于暖体假人系统的使用者实时掌握评价过程中所用数据,暖体假人系统还 包括:显示系统,其用于显示表面温度值、表面热流值、服装基础热阻、热环境。热环境包括 全身等效空间温度和局部等效空间温度。
本发明还提供一种室内热环境舒适性评价方法,由室内热环境舒适性评价系统运 行,包括以下步骤:
1)将暖体假人置于室内的检测位置,分别测试暖体假人每段独立分区的温度及加 热热流;
2)待室内环境达到热稳定状态,暖体假人满足控制要求后,记录从暖体假人所采 集到的测试数据;
3)室内活动时,服装基础热阻取0.50clo或I. OOclo两种状态;再结合步骤2)中测 试数据来计算暖体假人的等效空间温度teq,whcile;并根据等效空间温度值来对室内热环境舒 适性进行评价得分。
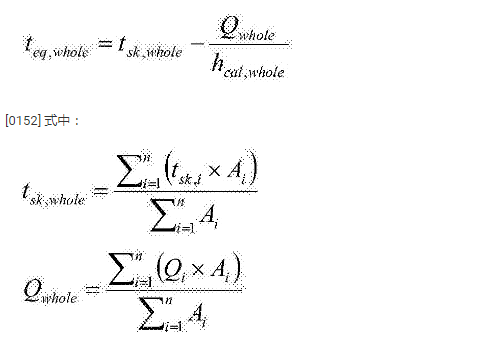
在本发明的实施例中,步骤3)中,暖体假人的等效空间温度teq,whQle的计算公式为:


i--暖体假人分段号,n = 16;
teq, whole--暖体假人的等效空间温度,单位为°C ;
Qwhoie--暖体假人的面积加权加热热流率,单位为W/m2;
tsk;1一一暖体假人分段i的表面温度,单位为°C ;
Qi——暖体假人分段i的加热热流,单位为W/m2;
A1一一暖体假人分段i的表面积,单位为m2;
hcal.whole 一一暖体假人表面与环境间的换热系数,在标准均匀热环境中测定,W/ Hl2 · °C,该换热系数的大小与服装基础热阻的大小有关,即当服装基础热阻的大小改变后, 该换热系数的大小随之也会发生改变。
在本发明的实施例中,当服装基础热阻取0.50clo时,暖体假人的等效空间温度 ^,此。16应在23.3°(:?28.5°(:,依据如下公式进行评分:
Rteq,sunmier = 5-1.905 X | teq,whole-25.9
式中,Rte3qisumme3r—一服装基础热阻取0.50clo时,室内环境暖体假人评价得分;若 Rteq,sunmier^5 j j)i!ji|XRteq, summer _ 5 ;石.Rteq, simmer〈 I j ]3!ji|XRteq, summer _ I 〇 Rteq, summer 的数值为I?5,该 评价得分数值的大小是用来区分热舒适等级的高低,数值越高代表热舒适性越好,5代表 好,1代表差;
当服装基础热阻取I. OOclo时,暖体假人的等效空间温度teq,whole应在19.5°C? 26.7°C,依据如下公式进行评分:
RteqjWinter = 5-1.429 X | teq,whole-23 . I
式中,Rte3qiwinte3r—一服装基础热阻取I. OOclo时,室内环境暖体假人评价得分;若 Rteq,winter 〉5,贝丨J耳S^Rteq,winter — 5 ;右"Rteq,winter〈l,贝丨J耳XRteq,winter — Io
Rteq,数值为1?5,该评价得分数值的大小是用来区分热舒适等级的高低, 数值越高代表热舒适性越好,5代表好,1代表差。
需要说明的是,关于该方法中所用暖体假人的描述可参见上述暖体假人系统中关 于暖体假人的描述,此处不再一一赘述。关于该方法中涉及的暖体假人满足控制要求的描 述可参见上述暖体假人系统中关于测控系统的描述,此处不再一一赘述。
本发明的评价方法科学合理,采用中国成年男性暖体假人不仅可以测试实际人体 所处热环境对应的全身等效空间温度,还可以测试人体不同分区周围环境的等效空间温 度,真实反映实际人体周围热环境参数。等效空间温度能通过人体与环境间的实际对流辐 射换热体现各种因素在热环境中的影响,这些因素包括气温、辐射温度(壁温、地板温度、其 它辐射源)、人体不同肢体间相对位置、人体在热环境中的位置、风速等。不需要再另行测试 外部做功消耗的热量、平均辐射温度、室内空气流速和水蒸气分压等等参数,而PMV评价指 标系统需要测试出上述参数,在测试上述参数的过程中不但存在很大的误差,而且工作量 较大,所得出的评价结果的精度也不高;本发明的评价方法不但避免了上述问题缺陷,还得 到了精度较高的评价结果。
根据暖体假人测试的等效空间温度,以及服装基础热阻采用符合中国地区人体在 热环境中舒适性的评价方法,确定人体全身冷热感觉、人体不同部位冷热感觉来作为评价 结果,该评价结果不仅用于环境控制系统的评价,还可以为环境控制系统的设计提供指导, 保证人体在热环境中全身及局部区域的舒适性。
综上所述,本发明的评价系统中采用的暖体假人根据我国成年男性生理特征模拟 人体在实际热环境中的真实换热状态,非常适用于各类均匀或非均匀室内热环境舒适性的 评价,避免了人体实验中个人生理、心理因素和个体差异的影响,且控制过程稳定,稳定热 状态与实际人体一致,评价结果准确可靠,可重复性好。在非均匀热环境中,实际人体各部 位所处环境不一致,气温、辐射温度(如壁温、地板温度、热辐射源)、风速等会出现很大差 另IJ,冷热感觉差别非常大,本发明提供的中国成年男性暖体假人完全按我国成年男性人体 数据制作,具有人体各种主要关节,可以模拟实际人体在相应热环境中的各种姿态,真实模 拟实际人体不同部位在非均匀热环境中的热状态,从而准确测试人体不同部位所处热环 境,合理评价人体不同部位的冷热感觉。
本发明的暖体假人热状态控制系统合理可靠,暖体假人采用人体舒适状态热平衡 方程控制假人表面温度及表面热流。平衡状态下控制过程非常稳定,对服装基础热阻及热 环境参数的测试误差很小,控制方法准确,重复性好。同时平衡状态下假人表面温度与实际 着装人体在同样环境条件下的体表温度非常接近,温度分布规律一致。
本发明的评价系统应用范围广泛,在民用、军事、航空航天、航海等各种领域热环 境中,都存在复杂的非均匀热环境,中国成年男性暖体假人热环境舒适性评价系统不仅可 以直接准确综合测试热环境参数,还可以对这些热环境舒适性进行客观评价,测试及评价 结果稳定、准确、重复性高、符合真实人体热状态,合理可靠。
本发明提供的评价系统为我国室内热环境舒适性营造产品的研发、设计和评价工 作提供参考和依据,有效提升我国室内热环境舒适性营造产品的宜人性水平,同时也为我 国从事热环境舒适性研究、生产和监管的科研院所、企业和监管部门提供技术支持和评价 依据。
以上所述仅为本发明的较佳实施例而已,并不用以限制本发明,凡在本发明的精 神和原则之内,所作的任何修改、等同替换、改进等,均在本发明待批权利要求保护范围之 内。





