基于暖体假人的热环境舒适性评价方法
发布时间:2018-12-03 16:13
本发明涉及空气调节技术领域,具体而言,涉及一种基于暖体假人的热环境舒适 性评价方法。
背景技术:
为了获得准确的空调热舒适性数据,为空调的舒适性改善方案以及新的舒适性空 调产品设计提供数据基础,一般需要对空调样品进行热舒适性测试,以获取真实的舒适性 信息。在进行空调的热舒适性测验时,往往需要研究大量人群,根据测试人员所填写的舒适 性体验报告,来得出空调的舒适性数据,并根据所得出的舒适性数据,对空调样品进行相应 的调试,使得终的空调能够较好地满足人体舒适度要求。
然而,在进行空调舒适性测试时,由于人体试验中个人生理、心理因素和个体差异 等的影响,因此对空调舒适性的评价受到的干扰因素太多,导致空调舒适性评价的数据准 确性较差,难以满足空调舒适性评价的要求。
发明内容:
本发明的目的是提出一种基于暖体假人的热环境舒适性评价方法,能够提高空调 舒适性评价的数据准确性,满足空调舒适性评价的要求。
根据本发明的一个方面,提供了一种基于暖体假人的热环境舒适性评价方法,包 括:
获取暖体假人和环境间的对流辐热换热;
根据对流辐射换热获取人体平均皮肤温度;
根据人体平均皮肤温度获取暖体假人的等效空间温度;
根据等效空间温度对热环境舒适性进行评分。
优选地,所述根据对流辐射换热获取人体平均皮肤温度的步骤包括:
获取人体呼吸换热值;
获取人体皮肤蒸发换热值;
根据对流辐射换热、人体呼吸换热和人体皮肤蒸发换热确定暖体假人和环境间的 总散热;
根据下列公式确定人体平均皮肤温度:
tsk = 35.77-0.028Qt
其中tsk为人体平均皮肤温度,Qt为暖体假人和环境间的总散热,Qt单位为W/m2。
优选地,所述人体呼吸换热值通过如下公式确定:
Qres = 1 · 7 X 10—5M (5867-Pa) +0 · 0014M (34-ta)
其中Qres为人体呼吸换热,单位为W/m2, M为人体代谢产热,单位为W/m2, Pa为环境 水蒸汽分压,取1500Pa,ta为空气温度,取20 °C。
优选地,所述人体皮肤蒸发换热值通过如下公式确定:
Es = 3 · 05 X 10—3 (5733-6 · 99M-Pa) +0 · 42 (M-58 · 15)
其中Es为人体呼吸换热,单位为W/m2,M为人体代谢产热,单位为W/m2,Pa为环境水 蒸汽分压,取1500Pa。
优选地,所述根据人体平均皮肤温度获取暖体假人的等效空间温度的步骤包括:
确定暖体假人的面积加权平均皮肤温度;
确定暖体假人的面积加权加热热流率;
根据暖体假人的面积加权表面温度率和面积加权加热热流率确定暖体假人面积 加权平均等效空间温度。
优选地,所述暖体假人的面积加权表面温度率通过如下公式获取:

其中:i为暖体假人分段号,η为大于1的自然数;teq,Wh〇le为暖体假人面积加权平 均等效空间温度,单位为摄氏度,°(:44,《1!〇16为暖体假人的面积加权平均皮肤温度,单位 为°(:;^^11〇16为暖体假人的面积加权加热热流率,单位为瓦每平方米,1/1112^81^4为暖体假 人分段i的表面温度,单位为摄氏度,°C;Qi为暖体假人分段i的加热热流,单位为瓦每平方 米,W/m2;Ai为暖体假人分段i的表面积,单位为平方米,m2;heal ,whole为暖体假人表面与 环境间的换热系数,在标准均匀热环境中测定,单位为W/m2 · °C。
优选地,所述根据等效空间温度对热环境舒适性进行评分的步骤包括:
检测暖体假人的着装热阻;
根据暖体假人的着装热阻和面积加权平均等效空间温度对热环境舒适性进行评 分。
优选地,根据暖体假人的着装热阻和面积加权平均等效空间温度对热环境舒适性 进行评分的步骤通过如下公式进行:


其中Rteq,winter为着装热阻取I. OOclo时,室内环境暖体假人评价得分;若Rteq, winter>5,则取Rteq,winter = 5;若Rteq,winter〈l,则取Rteq,winter = 1 〇
在本发明中,采用了暖体假人作为热环境舒适性评价方法的客体,能够有效避免 人体试验过程中个人生理、心理因素和个体差异等的影响对于测试精度的影响,实现非稳 态、非均匀热环境下房间的热舒适性状态测试,并且可以将风速、温度、湿度、辐射温度、衣 着量、代谢率等因素综合处理,给出精确的舒适性评分,能够模拟测试人体不同姿态的舒适 性,提供现有空调舒适性改善的方案和为新的舒适性空调产品设计提供基础,满足空调舒 适性评价的要求。
应当理解的是,以上的一般描述和后文的细节描述仅是示例性和解释性的,并不 能限制本发明。
具体实施方式:
以下描述和附图充分地示出本发明的具体实施方案,以使本领域的技术人员能够 实践它们。其他实施方案可以包括结构的、逻辑的、电气的、过程的以及其他的改变。实施例 仅代表可能的变化。除非明确要求,否则单独的部件和功能是可选的,并且操作的顺序可以 变化。一些实施方案的部分和特征可以被包括在或替换其他实施方案的部分和特征。本发 明的实施方案的范围包括权利要求书的整个范围,以及权利要求书的所有可获得的等同 物。在本文中,各实施方案可以被单独地或总地用术语“发明”来表示,这仅仅是为了方便, 并且如果事实上公开了超过一个的发明,不是要自动地限制该应用的范围为任何单个发明 或发明构思。本文中,诸如和第二等之类的关系术语仅仅用于将一个实体或者操作与 另一个实体或操作区分开来,而不要求或者暗示这些实体或操作之间存在任何实际的关系 或者顺序。而且,术语“包括”、“包含”或者其任何其他变体意在涵盖非排他性的包含,从而 使得包括一系列要素的过程、方法或者设备不仅包括那些要素,而且还包括没有明确列出 的其他要素,或者是还包括为这种过程、方法或者设备所固有的要素。在没有更多限制的情 况下,由语句“包括一个……”限定的要素,并不排除在包括所述要素的过程、方法或者设备 中还存在另外的相同要素。本文中各个实施例采用递进的方式描述,每个实施例重点说明 的都是与其他实施例的不同之处,各个实施例之间相同相似部分互相参见即可。对于实施 例公开的方法、产品等而言,由于其与实施例公开的方法部分相对应,所以描述的比较简 单,相关之处参见方法部分说明即可。
参见图1和图2所示,为暖体假人及其加热控制区域划分结构示意图。暖体假人测 试系统是一套可用于测试非稳态、非均匀热环境下人体与环境之间热量交换的测试系统, 本实施例中,用于测试的暖体假人采用16区段设计,每一段都可独立控温,主要关节可旋 转,可根据被测需求调节人体姿态。温度控制系统采用基于人体热平衡方程的人体热流与 皮肤温度耦合控制策略,测试时可以实时监测任一区段体表平均温度及其热流量。暖体假 人测试系统引入平均等效温度、局部等效温度等评价指标,可对稳态及非稳态热环境进行 热舒适评价。
暖体假人每个区域均采用低压电源进行单独加热控制,并布置温度传感器测量表 面温度,对于换热条件差别较大的区域设置了多个传感器测量表面温度,如腿部、躯干以及 臀部等位置。假人每个分区的加热热流与表面温度由计算机测量控制。
暖体假人物理模型采用紫铜材料,紫铜的导热性非常好,内外表面温度均匀性很 高。暖体假人的加热部分布置在内表面,加热功率均勾分布于假人相应分区的三维空间表 面上,加热装置一侧贴在假人内表面,另一侧铺设导热膜,这样可以进一步保证同一区域表 面温度的均匀性。导热膜外再进行保温,使加热热流全部以假人表面散热形式传到外环境 中,假人与环境间的散热热流可以得到准确测量。
暖体假人控制系统中22个加热装置分别用于假人不同分区加热,包括面部、头后 部、胸部、腹部头后部、胸部、腹部、背部、臀部、左上臂内侧、左上臂外侧、右上臂内侧、右上 臂外侧、左前臂、右前臂、左手、右手、左大腿外侧、左大腿内侧、右大腿外侧、右大腿内侧、左 小腿、右小腿、左足、右足等22处。计算机测控软件采用变速积分PID过程控制每个加热装置 的加热占空比,通过控制22个加热装置的各自继电器开关1?22的通断,从而调节22个加热 区域加热装置的加热时间加热功率,达到控制各分区热状态的目的。
结合参见图3所示,根据本发明的实施例,基于暖体假人的热环境舒适性评价方法 包括:获取暖体假人和环境间的对流辐热换热;根据对流辐射换热获取人体平均皮肤温度; 根据人体平均皮肤温度获取暖体假人的等效空间温度;根据等效空间温度对热环境舒适性 进行评分。
在本发明中,采用了暖体假人作为热环境舒适性评价方法的客体,能够有效避免 人体试验过程中个人生理、心理因素和个体差异等的影响对于测试精度的影响,实现非稳 态、非均匀热环境下房间的热舒适性状态测试,并且可以将风速、温度、湿度、辐射温度、衣 着量、代谢率等因素综合处理,给出精确的舒适性评分,能够模拟测试人体不同姿态的舒适 性,提供现有空调舒适性改善的方案和为新的舒适性空调产品设计提供基础,满足空调舒 适性评价的要求。
所述根据对流辐射换热获取人体平均皮肤温度的步骤包括:获取人体呼吸换热 值;获取人体皮肤蒸发换热值;根据对流辐射换热、人体呼吸换热和人体皮肤蒸发换热确定 暖体假人和环境间的总散热;
根据下列公式确定人体平均皮肤温度:


其中Es为人体呼吸换热,单位为W/m2,M为人体代谢产热,单位为W/m2,Pa为环境水 蒸汽分压,取1500Pa。
暖体假人根据人体舒适状态下的热平衡方程进行控制,假人表面温度数值取决于 人体与周围环境间的换热量。在不考虑人体对外做功情况下,人体舒适状态热平衡方程如 下:

本式为暖体假人表面温度的调节控制方程,暖体假人表面温度高低取决于假人与 环境间的散热量或者是假人的加热功率。
在确定人体平均皮肤温度和人体与环境间的对流辐射换热之间的关系后,就可以 根据人体与环境间的对流辐射换热去确定整个人体表面的平均等效空间温度,然后利用该 平均等效空间温度对热环境舒适性进行评价。
在进行评价的过程中,将标定好的假人置于规定的暖体假人检测位置,测试假人 头、左右上臂、左右前臂、左右手、背部、胸部、臀部、左右大腿、左右小腿、左右足等部位温度 及加热热流,待室内环境达到热稳定状态,暖体假人满足控制要求后,记录采集时间内的测 试数据。等效空间温度与人体热感觉的关系取决于人体活动水平及着装状况。室内活动时, 代谢率取70W/m2,着装热阻取0.50clo和l.OOclo两种状态。
所述根据人体平均皮肤温度获取暖体假人的等效空间温度的步骤包括:确定暖体 假人的面积加权平均皮肤温度;确定暖体假人的面积加权加热热流率;根据暖体假人的面 积加权表面温度率和面积加权加热热流率确定暖体假人面积加权平均等效空间温度。
所述暖体假人的面积加权表面温度率通过如下公式获取:

其中:i为暖体假人分段号,η为大于1的自然数;teq,Wh〇le为暖体假人面积加权平 均等效空间温度,单位为摄氏度,°(:44,《1!〇16为暖体假人的面积加权平均皮肤温度,单位 为°(:;^^11〇16为暖体假人的面积加权加热热流率,单位为瓦每平方米,1/1112^81^4为暖体假 人分段i的表面温度,单位为摄氏度,°C;Qi为暖体假人分段i的加热热流,单位为瓦每平方 米,W/m2;Ai为暖体假人分段i的表面积,单位为平方米,m2;heal ,whole为暖体假人表面与 环境间的换热系数,在标准均匀热环境中测定,单位为W/m2 · °C。
通过上述的公式可以确定暖体假人面积加权平均等效空间温度。
在确定暖体假人面积加权平均等效空间温度之后,所述根据等效空间温度对热环 境舒适性进行评分的步骤包括:检测暖体假人的着装热阻;根据暖体假人的着装热阻和面 积加权平均等效空间温度对热环境舒适性进行评分。
在不同的季节,由于人体着衣的不同,着装热阻也会相应的发生变化,以使用空调 比较典型的夏季和冬季为例,夏季由于着装较少,因此着装热阻较小,一般取〇. 50clo,而冬 季由于着装较多,因此着装热阻较大,一般取I. OOclo。当然,由于地域的温度差异较大,着 装热阻也会随着地域的变化而相应变化,实际的测试过程中也会结合地域特点来选取合适 的着装热阻,本实施例中仅以典型的夏季制冷冬季制热来对热评价方法进行说明。
根据暖体假人的着装热阻和面积加权平均等效空间温度对热环境舒适性进行评 分的步骤通过如下公式进行:

其中Rteq,winter为着装热阻取I. OOclo时,室内环境暖体假人评价得分;若Rteq, winter>5,则取Rteq,winter = 5;若Rteq,winter〈l,则取Rteq,winter = 1。着装热阻取 l.OOclo时,暖体假人的等效空间温度teq,whole应在19.5°C?26.7°C之间,此时依据本式 进行评分。
在本实施例中,室内环境暖体假人评价得分分为5个等级,其中得分0?1为等 级,1?2为第二等级,2?3为第三等级,3?4为第四等级,4?5为第五等级,等级越高,说明 热环境舒适性越好,人体舒适度越高。
通过上述的方式,可以利用暖体假人对空调的热环境舒适性进行评分,从而为空 调的舒适性改善方案和舒适性空调的产品设计提供准确的数据基础。
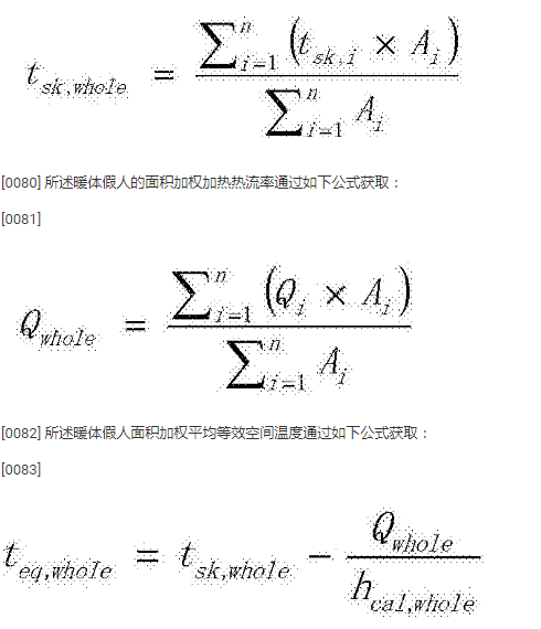
应当理解的是,本发明并不局限于上面已经描述并在附图中示出的流程及结构, 并且可以在不脱离其范围进行各种修改和改变。本发明的范围仅由所附的权利要求来限 制。





